近日,中国科学技术大学在有限温度电子磁流体中谱流与拓扑边界态对应关系的研究中取得进展。文章发表在在《Physical Review Research》期刊上,题为Symmetry-Driven Bulk-Edge Correspondence in Electron Magnetofluids at Finite Temperature(https://doi.org/10.1103/lvkj-3gdl)。本研究展示了连续介质体系中谱流不变量与“伪”陈数(Chern number)之间的对应,并首次理论预测了一种由谱流主导的朗缪尔-回旋边界模(TLCW)的存在与对称性拓扑保护机制。
该研究指出,尽管电子磁流体等连续介质的动量空间本质上是非紧致的,无法定义传统的陈数,但在具有镜像对称性的条件下,可构造出一个数学上严格成立的谱流指标,并通过拓扑指标定理与体相的“gap Chern number”建立差异对应。这种拓扑结构决定了边界上将出现由体相差异驱动的手性朗缪尔-回旋波,其传播方向与陈数之差一致。本研究给出将理想冷等离子体中的TLCW推广到更符合实验条件的研究范式,为后续等离子体的拓扑波传播与耗散机制实验研究提供基础。
论文以二维有限温度磁化等离子体为例,构建了一组具有带隙的自旋1/2型系统,考虑热压扰动和粘性阻尼等非厄米效应,采用线性稳定性分析与贝里曲率(Berry curvature)计算,系统分析了界面处谱的非对易行为及其与拓扑模态的关系。研究发现:
当两侧体相gap Chern number不同,边界稳定存在朗缪尔-回旋波(TLCW),其频率位于体相禁带中;
谱流与gap Chern number差完全一致,验证了拓扑指标定理在连续介质中的推广;
引入非厄米阻尼后,TLCW依旧存在,展示出高度鲁棒性,拓扑保护不依赖于Hermiticity。
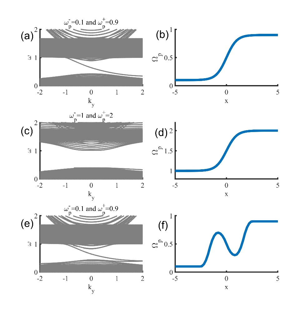
图1给出了体边关联成立的充要条件,图2~图4展示了数值模拟中TLCW的相空间色散关系、谱流与体陈数差的对应以及手性传播特性。图5给出考虑粘滞和碰撞耗散后的能谱。

图1 体边关联充要条件示意图与Berry磁单极子(图中degeneracy)

图2 线性化电子磁流体波相空间色散关系(左),朗缪尔回旋波共振点(右)

图3 Berry曲率广义积分给出Chern number

图4 三种一维非均匀密度剖面(右)下电子磁流体的谱(左)

图5 碰撞(上)与粘滞(下)带来的电子磁流体谱修正
本研究为刘万东教授团队完成。论文第一作者为饶贤昊博士研究生,通讯作者为阿迪里博士后研究员与李弘副教授。该工作得到了国家自然科学基金支持。
作者简介:饶贤昊为核科学技术开元(中国)博士研究生,通讯作者阿迪里博士为核科学技术开元(中国)博士后研究员,研究方向包括托卡马克物理及拓扑等离子体物理研究。
原文链接:https://doi.org/10.1103/lvkj-3gdl
等离子体物理与聚变工程系简介:等离子体物理与聚变工程系(校内编号52系)自2020年成立以来,已成为中国首个专注于等离子体物理与聚变工程教学与研究的系级机构。其前身是成立于1974年的等离子体物理教研室。目前,52系具有应用物理和工程物理两个本科专业,招收物理学(等离子体物理)、核科学技术(核能工程)、能源动力三个专业的研究生。
