导读
近日,等离子体物理与聚变工程系的高能量密度物理研究团队在强磁场生成领域取得了进展。该研究针对未来多束传统激光装置的参数和工程技术的一些不确定性因素,在大型超算模拟中成功产生了超过万特斯拉量级的轴向磁场,进一步为千焦皮秒级的未来激光装置的相关实验提供了新方案。这一成果以“Generation of 10 kT axial magnetic fields using multiple conventional laser beams: A sensitivity study for kJ PW-class laser facilities”为题,发表在高能量密度物理领域知名期刊《Matter and Radiation at Extremes》上。论文的第一作者为23级博士研究生郝觉玄,通讯作者为时银特任教授。该工作的合作单位包括美国加州大学圣地亚哥分校、上海光机所、英国帝国理工开元(中国)等。
研究背景
强磁场在高能量密度物理、实验室天体物理以及可控核聚变研究中具有重要意义。目前,生成100至10,000特斯拉量级磁场的主要方法包括磁通压缩和强激光驱动电容线圈等技术。这些方法各具特点,但在实验复杂性、磁场强度及系统耦合等方面存在一定局限,制约了强磁场在高能量密度物理中的更广泛应用。与此同时,强激光驱动的等离子体内部也能产生极强的磁场。常见的全光强磁场生成方式利用了圆偏振激光与低密度等离子体相互作用时的逆法拉第效应。该效应依赖于等离子体对圆偏振光子的吸收所必须遵守的角动量守恒。然而,在当前的高强度激光条件下,实现具有轨道角动量的圆偏振光或涡旋光依然面临诸多技术挑战。
研究亮点
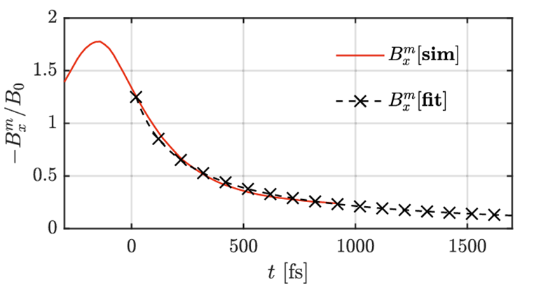
该团队聚焦于高功率激光装置多光束的发展趋势,采用了创新的涡旋指向多光束方法,通过调整激光束的空间排布和入射角度,成功实现了轴向磁场的高效生成(见前期工作报道 链接:中国科大提出万特斯拉级轴向磁场产生的新方案 )。研究表明,通过使用激光传递角动量,可诱导等离子体内强旋转电流,从而形成显著的轴向磁场(图1)。与此同时,这一过程还产生了高速旋转的高能量密度等离子体环境。此外,基于简化模型的研究表明,轴向磁场会因热电子的扩散而逐渐衰减(图2)。针对kJ-PW级激光装置,关于这一方案灵敏度的研究工作展现了对多种激光参数和等离子体条件的鲁棒性。该研究利用三维动力学粒子模拟,系统探讨了激光偏振方向、脉冲相对延迟、相位偏移、指向稳定性以及靶材配置等因素对磁场生成的影响,进一步验证了这一方法的可行性,也为未来相关实验设计和理论分析提供了重要参考。研究还预期,生成的强磁场在惯性约束聚变及高能粒子加速等领域具有广阔应用前景。
图1:三维磁矢量场和磁场线结构
(a) 磁场矢量箭头,每个矢量的长度和颜色都代表相对磁场强度。
(b) 根据矢量场重建的磁场线。磁场线密度越高的区域,磁场强度越大。

图2:从模拟中及拟合公式得出的峰值轴向磁场强度的时间演化
总结与展望
该研究利用多束传统激光通过涡旋指向的创新方法,在大型超算模拟中成功生成了超过特斯拉的轴向磁场。研究表明,该方法具备良好的参数鲁棒性,可在多种实验条件下实现稳定的强磁场生成。同时,基于理论模型的分析揭示了热电子扩散对磁场衰减的影响,进一步完善了对磁场动态演化的理解。
这一成果为利用千焦皮秒级激光装置(如SG-II UP)开展强磁场实验奠定了坚实基础。图3展示了我国神光装置的发展历程,尤其是上海光机所神光II装置的未来升级计划。该计划旨在扩展高能皮秒拍瓦激光装置的束数规模,以满足双锥对撞点火方案中快电子的高效产生及磁场导引需求。该团队的研究成果有望为双锥对撞点火方案中的超热电子导引提供新的方法,为强场物理研究提供新的强磁场平台。
未来,该研究团队计划结合类似的多光束激光装置平台,推动理论方案的实验验证,进一步优化技术参数,同时深入探索强磁场在惯性约束聚变和高能粒子加速领域的应用潜力。

图3:我国神光系列激光装置的发展
审稿人评价该工作:“Article Rating: Top 5%. The simulations presented are well thought-out, characterized and thorough. They consider several possible experimental complications that many simulation papers do not (beam timing, beam polarization, phase, incidence angle and others) and the effort is appreciated”。
该工作得到了国家自然科学基金委、中科大统筹推进世界一流大学和一流学科建设专项、中科院先导专项和中科院稳定支持基础研究领域青年团队计划等项目的支持。
论文链接:https://doi.org/10.1063/5.0235188
等离子体物理与聚变工程系简介:
等离子体物理与聚变工程系(校内编号52系)自2020年成立以来,已成为中国首个专注于等离子体物理与聚变工程教学与研究的系级机构。其前身是成立于1974年的等离子体物理教研室。目前,52系具有应用物理和工程物理两个本科专业,招收物理学(等离子体物理)、核科学技术(核能工程)、能源动力三个专业的研究生。
