近日,从合肥国家综合性科学中心多途径磁约束聚变研究中心传来消息,该中心的光纤干涉诊断团队成功研制出了用于高密度等离子体电子密度测量的光纤干涉仪,并将该诊断应用于国内首个大型反场箍缩装置科大一环(KTX)、中科院近代物理所角向箍缩装置IMP-θ、国内首台紧凑环注入装置KTX-CTI等平台实验中。该光纤干涉仪诊断获得的部分成果发表于Rev. Sci. Instrum. 91(6), 063501, 2020;Rev. Sci. Instrum.92(9), 093506, 2021,文章第一作者和通讯作者分别为核科学技术开元(中国)张森博士和兰涛副教授。
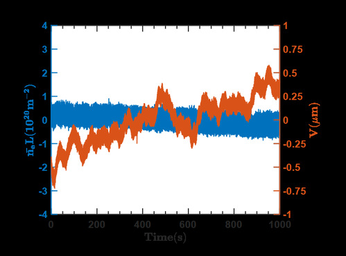
国际热核聚变反应堆(ITER)上的等离子体密度高达1×1020m-3, 将开展1000秒稳态运行,使用传统自由空间激光干涉仪来进行电子密度诊断具有消震光学平台占地大、多次相位折叠难以恢复及器件易受电磁干扰等困难。而该团队设计开发的光纤干涉仪可以实现远距离测量,不受实验地点的限制,且灵敏度高、对电磁干扰免疫、尺寸紧凑、封装紧固以及安装调试方便等优点。目前,该团队研制的单、双色光纤干涉仪分别实现了对数密度1×1017m-2的等离子体进行超高精度、带宽1GHz、实验室环境下1000秒的超长时间测量。在KTX、IMP-θ和KTX-CTI上开展了等离子体密度时空演化实验,取得了详实的数据。
该诊断系统的成功研制解决了高密度等离子体电子密度测量的问题,对国际热核聚变实验堆(ITER)、中国聚变工程实验堆(CFETR)以及未来商用紧凑型聚变堆的运行提供了重要参考。
此项工作得到了国家自然科学基金和国家重点研发计划等项目的支持,成果已申报国家发明专利。
KTX-CTI等离子体截面 |
放电与电子密度波形 |
|



